-
1Academic Journal
Authors: V. Burenin, Владислав Валентинович Буренин
Source: Avtomobil'. Doroga. Infrastruktura.; № 2(2) (2014); 29 ; Автомобиль. Дорога. Инфраструктура. = Avtomobil'. Doroga. Infrastruktura.; № 2(2) (2014); 29 ; 2409-7217
Subject Terms: подвижные агрегаты, агрегат, оборудование, транспортно-перегрузочное оборудование, транспортно-установочное оборудование, РК, ракетный комплекс, модульность, модуль, модульный принцип, самоходная платформа, сочлененный прицеп, моноприцеп, полуприцеп, КГТ
File Description: application/pdf
Relation: https://www.adi-madi.ru/madi/article/view/87/pdf_52; https://www.adi-madi.ru/madi/article/downloadSuppFile/87/181; https://www.adi-madi.ru/madi/article/downloadSuppFile/87/182; https://www.adi-madi.ru/madi/article/downloadSuppFile/87/183; https://www.adi-madi.ru/madi/article/downloadSuppFile/87/184; https://www.adi-madi.ru/madi/article/downloadSuppFile/87/186; https://www.adi-madi.ru/madi/article/downloadSuppFile/87/187; https://www.adi-madi.ru/madi/article/downloadSuppFile/87/203; Белоусов Б.Н., Попов С.Д. Колесные транспортные средства особо большой грузоподъемности. М.: Изд-во МГТУ им. Н.Э. Баумана, 2006. 727 с.; Кошарный Н.Ф. Технико-эксплуатационные свойства автомобилей высокой проходимости. Киев: Вища школа, 1981. 208 с.
Availability: https://www.adi-madi.ru/madi/article/view/87
-
2Academic Journal
Authors: R. Borisov, Руслан Борисович Борисов
Source: Avtomobil'. Doroga. Infrastruktura.; № 2(2) (2014); 24 ; Автомобиль. Дорога. Инфраструктура. = Avtomobil'. Doroga. Infrastruktura.; № 2(2) (2014); 24 ; 2409-7217
Subject Terms: оценка, вертикальные перемещения, геометрическая характеристика, колесные движители, подвижные агрегаты, оборудование, транспорт, транспортно-перегрузочное оборудование, транспортно-установочное оборудование, РК, ракетный комплекс, модульный принцип
File Description: application/pdf
Relation: https://www.adi-madi.ru/madi/article/view/82/pdf_47; https://www.adi-madi.ru/madi/article/downloadSuppFile/82/142; https://www.adi-madi.ru/madi/article/downloadSuppFile/82/146; https://www.adi-madi.ru/madi/article/downloadSuppFile/82/150; https://www.adi-madi.ru/madi/article/downloadSuppFile/82/153; https://www.adi-madi.ru/madi/article/downloadSuppFile/82/155; https://www.adi-madi.ru/madi/article/downloadSuppFile/82/157; https://www.adi-madi.ru/madi/article/downloadSuppFile/82/158; https://www.adi-madi.ru/madi/article/downloadSuppFile/82/159; https://www.adi-madi.ru/madi/article/downloadSuppFile/82/160; https://www.adi-madi.ru/madi/article/downloadSuppFile/82/163; https://www.adi-madi.ru/madi/article/downloadSuppFile/82/165; https://www.adi-madi.ru/madi/article/downloadSuppFile/82/166; https://www.adi-madi.ru/madi/article/downloadSuppFile/82/167; https://www.adi-madi.ru/madi/article/downloadSuppFile/82/206; Хачатуров А.А. Динамика системы дорога-шина-автомобиль-водитель. М.: Машиностроение, 1976.; Вентцель Е.С. Теория вероятностей. М.: Наука, 1969.; Гришкевич А.И. Автомобиль. Теория: учебник для вузов. Мн., Выш. шк., 1986. 208 с.; Раймпель Й. Шасси автомобиля. Амортизаторы, шины и колёса / пер. с нем. В.П. Агапова; под ред. О.Д. Златовратского. М.: Машиностроение, 1986. 320 с.; Белоусов Б.Н., Попов С.Д. Колесные транспортные средства особо большой грузоподъемности. М.: Изд-во МГТУ им. Н.Э. Баумана, 2006. 727 с.
Availability: https://www.adi-madi.ru/madi/article/view/82
-
3Academic Journal
Authors: A. Sova, Александр Николаевич Сова
Source: Avtomobil'. Doroga. Infrastruktura.; № 2(2) (2014); 28 ; Автомобиль. Дорога. Инфраструктура. = Avtomobil'. Doroga. Infrastruktura.; № 2(2) (2014); 28 ; 2409-7217
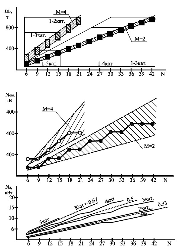
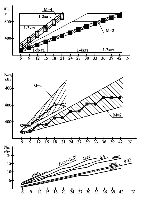
Subject Terms: обоснование, параметрический ряд, подвижный агрегат, транспортно-перегрузочное оборудование, транспортно-установочное оборудование, РК, ракетный комплекс, определение типоразмеров, модуль, база, полуприцеп, прицеп, самоходная платформа, транспорт, колесо
File Description: application/pdf
Relation: https://www.adi-madi.ru/madi/article/view/86/pdf_51; https://www.adi-madi.ru/madi/article/downloadSuppFile/86/173; https://www.adi-madi.ru/madi/article/downloadSuppFile/86/174; https://www.adi-madi.ru/madi/article/downloadSuppFile/86/175; https://www.adi-madi.ru/madi/article/downloadSuppFile/86/176; https://www.adi-madi.ru/madi/article/downloadSuppFile/86/177; https://www.adi-madi.ru/madi/article/downloadSuppFile/86/178; https://www.adi-madi.ru/madi/article/downloadSuppFile/86/179; https://www.adi-madi.ru/madi/article/downloadSuppFile/86/180; https://www.adi-madi.ru/madi/article/downloadSuppFile/86/210; Итоговый отчет по теме НИР 405-68-06. КБ «Мотор», 1975.; Павлов В.А., Муханов С.А. Транспортные прицепы и полуприцепы. М.: Воениздат, 1981. 192 с.; Юрковский И.М., Толпыгин В.А. Автомобиль КамАЗ. Устройство, техническое обслуживание, эксплуатация. М.: ДОСААФ, 1975. 407 с.; Гладов Г.И., Зайцев С.В., Котович С.В. Конструкции транспортных средств специального назначения: учеб. пособие М.: МАДИ, 2014. 164 с.; Бирюков Г.П., Манаенков Е.Н., Левин Б.К. Технологическое оборудование отечественных ракетно-космических комплексов: учеб. пособие для вузов / под ред. А.С. Фадеева, А.В. Торпачёва. М.: РЕСТАРТ, 2012. 600 с.; Закин Я.X., Щукин М.М., Марголис С.Я., Ширяев П.П., Андреев А.С. Конструкции и расчёт автомобильных поездов. Л: Машиностроение, 1968.
Availability: https://www.adi-madi.ru/madi/article/view/86